[ 索引号 ]
115002230093322557/2025-00126
[ 发文字号 ]
[ 发布机构 ]
潼南区龙形镇
[ 主题分类 ]
其他
[成文日期 ]
2025-12-25
[ 发布日期 ]
2025-12-25
[ 体裁分类 ]
公告公示
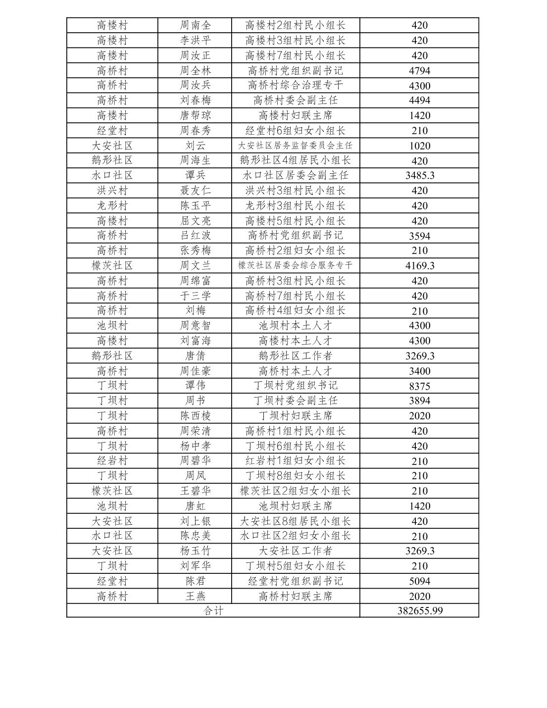
龙形镇2025年12月村(社区)干部待遇打卡公示






扫一扫在手机打开当前页



