您当前的位置: 首页 > 部门 > 区卫生健康委员会 > 政务公开 > 政府信息公开目录 > 卫生健康领域 > 行政检查 > 检查结果

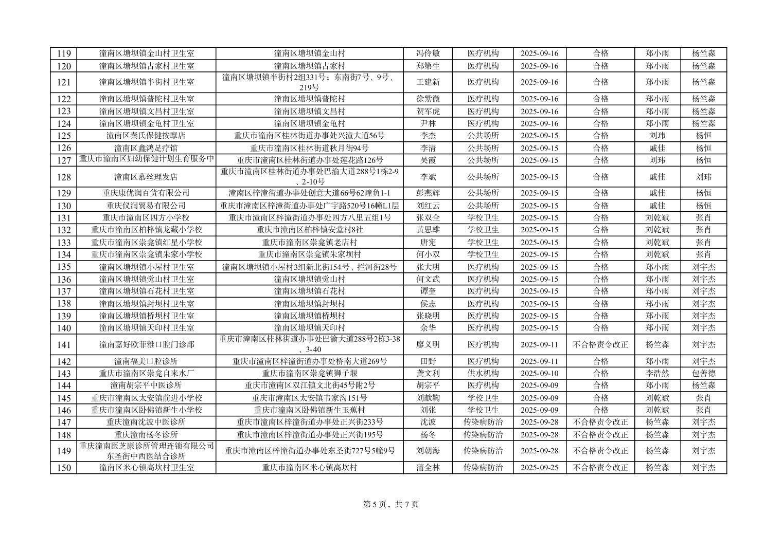
重庆市潼南区疾病预防控制中心(卫生监督所)日常监督检查公示

日期: 2025-10-09


扫一扫在手机打开当前页
-->

国务院部门网站

地方政府网站

市政府部门网站

区(县)政府网站

其他网站